EE. UU. autoriza la venta de diluyentes estadounidenses a Venezuela bajo la Licencia General 47 de la OFAC
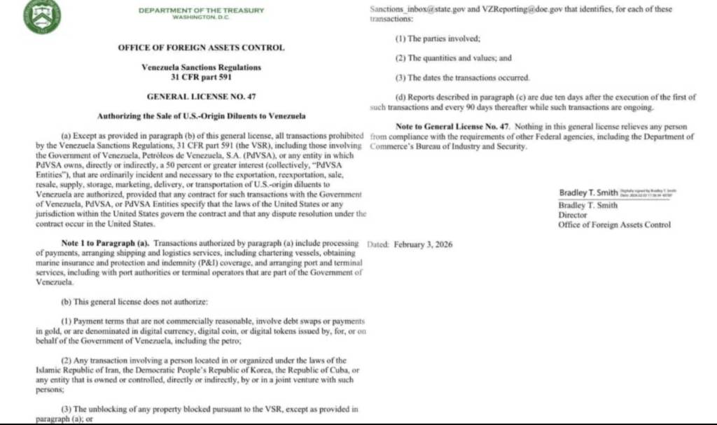
El Departamento del Tesoro de Estados Unidos, a través de la Oficina de Control de Activos Extranjeros (OFAC), emitió la Licencia General N.° 47 que autoriza transacciones relacionadas con la exportación, venta y suministro de diluyentes de origen estadounidense a Venezuela, insumo clave para procesar crudo pesado y facilitar su comercialización.
¿Qué permite la licencia?
La GL 47 autoriza las transacciones que normalmente estarían prohibidas por las regulaciones de sanciones (31 CFR parte 591) cuando sean “ordinariamente incidentales y necesarias” para exportar, revender, almacenar, comercializar, entregar o transportar diluyentes de origen estadounidense hacia Venezuela, incluso si involucran al Gobierno de Venezuela, PDVSA o entidades donde PDVSA tenga 50% o más.
Además, la licencia aclara que estas operaciones pueden incluir procesamiento de pagos, servicios de logística y transporte (incluyendo fletamento), seguros marítimos (P&I) y servicios portuarios o de terminales.
Condición clave: contratos bajo ley de EE. UU.
La autorización está condicionada a que los contratos para estas transacciones con el Gobierno venezolano, PDVSA o entidades PDVSA establezcan que se rigen por las leyes de Estados Unidos (o alguna jurisdicción dentro de EE. UU.) y que cualquier disputa se resuelva en territorio estadounidense.
Restricciones: sin cripto, oro ni “swap” de deuda; veto a Irán, Corea del Norte y Cuba
La GL 47 no autoriza:
- Pagos no comercialmente razonables, canjes de deuda, pagos en oro o pagos denominados en monedas digitales/tokens emitidos por, para o en nombre del Gobierno de Venezuela, incluyendo el petro.
- Operaciones que involucren personas ubicadas en o bajo las leyes de Irán, Corea del Norte o Cuba, o entidades controladas por estas, o en “joint venture” con ellas.
- El desbloqueo de propiedad bloqueada (salvo lo permitido expresamente) o transacciones con embarcaciones bloqueadas.
Reportes obligatorios: cada 90 días y con detalle de cada transacción
La licencia impone un esquema de supervisión: quienes exporten, revendan o suministren estos diluyentes a Venezuela deben enviar un reporte detallado a Sanctions_inbox@state.gov y VZReporting@doe.gov, indicando por transacción:
- partes involucradas, 2) cantidades y valores, 3) fechas.
Los reportes deben presentarse 10 días después de ejecutarse la primera transacción y luego cada 90 días mientras las operaciones continúen.
Supervisión adicional
La OFAC también recuerda que esta licencia no exime del cumplimiento de requisitos de otras agencias federales, incluyendo el Bureau of Industry and Security (BIS) del Departamento de Comercio.

